首页  师资队伍  本科教学  研究生教育  科研管理  国际交流  党建工作  团学工作  招生工作  社会服务  文件下载 
首页
 学院信息 
学院通知
当前位置: 首页>>学院信息>>学院通知>>正文
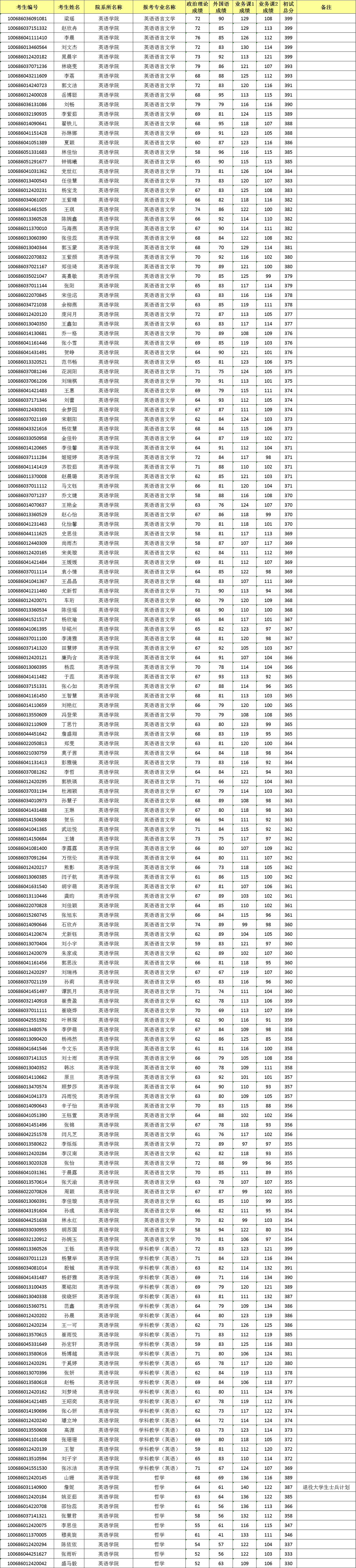
天津外国语大学英语学院2026年硕士研究生复试名单
2026-03-20 16:00     (阅读次数:)

 

内容审核|刘海燕 刘申琦 许玉芬

关闭窗口

版权所有: 天津外国语大学   |   英语学院提供信息
地址:天津市河西区马场道117号   邮编:300204 
电话:022-23288523   传真:022-23281796   邮箱:ses@tjfsu.edu.cn